近日,Elsevier旗下权威期刊《Chaos, Solitons & Fractals》(SCI一区)在线发表了复杂环境量子信息感知及应用课题组在利用新型光束进行粒子操控研究方面的新成果,论文题为“Abruptly autofocusing properties and radiation forces of an Airy derivative beam array with an optical vortex”(Chaos, Solitons and Fractals, 187, 115480 (2024))。第一会所
通信工程系2021级本科生赵首魁为论文第一作者,黄贤伟副教授和傅喜泉教授为论文共同通讯作者。
粒子操控是光镊技术的重要应用,该技术利用一束高度汇聚的激光形成的势阱来俘获和操纵控制微小粒子,因此针对激光进行调控使其高效汇聚是粒子操控的关键,对于光束汇聚一般可通过光学系统实现,但汇聚特性难以灵活可控。
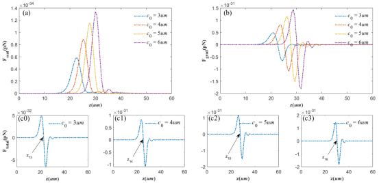
课题组在前期深入开展光量子传输与调控研究的基础上,针对上述粒子捕获应用中的激光调控问题,提出了一种具有涡旋结构的艾里导数光束阵列,在不施加其他光学系统的前提下,该光束具备突然自聚焦能力,且通过控制光源能实现可控的聚焦距离及强度。基于该光束独特的自动聚焦特性及涡旋开展了微小粒子捕获的研究,通过调控光源可灵活控制光束对微粒的作用力,此外还能够实现不同距离处的稳定粒子捕获,表明该光束具备在不同位置处同时捕获粒子的特性,这在光镊微粒操控方面具有重要应用前景。
研究工作依托第一会所
复杂环境量子信息感知及应用实验室,得到了国家自然科学基金、湖南省自然科学基金、中央高校基本科研业务费等项目的支持。
复杂环境量子信息感知及应用实验室一直致力于培养本科生创新能力,先后指导创新创业本科生20余名,本科生第一作者发表论文6篇。

相关研究成果已录用发表
具有涡旋结构的艾里导数光束阵列的聚焦特性
具有涡旋结构的艾里导数光束阵列的粒子捕获特性
文章链接:
//www.sciencedirect.com/science/article/pii/S0960077924010324
DOI: //doi.org/10.1016/j.chaos.2024.115480